This page contains various resources and tools to aid in the calculation of molarity, concentration, and melting temperature among others.


Absorbance (optical Density)

The concentration of oligonucleotide in a sample is measured by its absorbance at 260 nm according to the Beer-Lambert law.

Beer _000

Where A is the absorbance (optical density or OD), ε is the molar extinction coefficient, c is the concentration, and l is the pathlength.

 

Update

New formula to calculate the concentration of an oligo

Eurofins updated the formula used to determine the oligonucleotide concentration to support you with more accurate values for your applications. Concentration is calculated based on the absorbance, which is a measure of optical density (OD), and the molar extinction coefficient.

The former calculation used a unique constant for each base in the sequence multiplied by the number of each respective bases. The new calculation considers adjacent bases in the formula. Most customers will not be able to tell a difference between concentration calculated one way versus the other. Typically, the values are within 1-2% of each other and also within normal variation of absorbance measurement equipment.

More on the relationship between OD and Extinction Coefficent

The relationship between the amount of substance, measured OD260 and molar extinction coefficient at 260 nm (ε260) is given as:

nmol = OD260 x 106 / ε260

The molar extinction coefficient is a unique constant of each oligonucleotide determined by the nucleotide composition.

The ε260 of the oligonucleotide is calculated as the sum of all ε260 values of the nucleotides composing the sequence.

What changed?

The formula that Eurofins previously used to calculate the amount of substance is:

nmol = OD x 100 / (1.54 x nA + 0.75 x nC + 1.17 x nG + 0.92 x nT)

(n = number of respective nucleotides)

The new formula is based on the nearest-neighbor method and takes into account the sequence specific effects.

nmol = OD x 106 / ε260

Overall, the new formula is more accurate because it takes into account that certain bases couple better than others, which increases their absorbance. Accounting for the adjacent bases in the absorbance measurement is informally referred to as “nearest-neighbor” method. Nearest-neighbor and individual-bases extinction coefficients are used in the nearest-neighbors formula when calculating the final, total extinction coefficient of an oligonucleotide:

Impact of Change?

The impact is small. Most customers will not notice a difference in the concentration values reported on their datasheet. Typically, the values are within 1-2% of each other and also within normal variation of absorbance measurement equipment.

 

 

Oligo Analysis & Plotting Tool

 

The molecular weight of a substance is the weight of one mole of a that substance. To calculate the molecular weight of an oligonucleotide, the molecular weights of the individual nucleotides present in the oligo must first be summed. Then the weight must be corrected by subtracting 62.97, which is equal to two oxygen atoms and a phosphorus atom, to account for the 5’-terminal OH group, and by adding 1.008, which is equal to one hydrogen atom, to account for the 3’-terminal OH group.

The nucleotide unit:

Clip _image 001 

For DNA: R = H; “Base” can be Adenine, Cytosine, Guanine, or Thymine.

For RNA R = OH; “Base” can be Adenine, Cytosine, Guanine, or Uracil.   


DNA: MW = (#dA x 314.21) + (#dC x 289.18) + (#dG x 329.21) + (#dT x 304.19) – 62.97 + 1.008

RNA: MW = (#A x 330.21) + (#C x 305.18) + (#G x 345.21) + (#U x 306.17) – 62.97 + 1.008

To calculate the molecular weight of Oligo Potassium Salts, the molecular weight of the normal oligonucleotide must first be calculated (see above). This weight is then corrected by adding 39.1, which is equal to one potassium atom, and subtracting 1.008, which is equal to one hydrogen atom. This correction accounts for replacing all the acidic protons on the backbone with potassium ions.

K-Salt: MW = MW(normal) + (# nucleotides – 1) x (39.1 – 1.008)

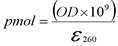
Picomole

  Pmoles   Picomole is a measurement of amount. The following equation can be used to calculate picomoles from the optical density (OD) and extinction coefficient (e260) of the oligonucleotide.  
           

Microgram

  Micrograms   Microgram is a measurement of weight. The following equation can be used to calculate micrograms from the picomoles (pmol) and molecular weight (MW) of the oligonucleotide.
Note: for an oligonucleotide 1 OD260 = 33µg.
 
           

Molarity

  Molarity   Molarity is a measurement of concentration.  It is equivalent to moles (mol) of solute per liter (L) of solution as expressed in the equation below.  
           
           

 

Oligo Analysis & Plotting Tool

The extinction coefficient at 260 nm, e260, is a constant that indicates the extent to which a given DNA or RNA strand in solution absorbs light at 260 nm.

In general, the calculation of the extinction coefficient of an oligonucleotide of length N can be given by the expression:

Ext

e
N is the “nearest-neighbor” extinction coefficient of neighboring nucleotides i and i + 1.

Nearest-neighbor extinction coefficients at 260 nm:

 

i = C

i = G

i = A

i = U

i = dC

i = dG

i = dA

i = dT

i + 1 = C

14200

17800

21000

16200

14400

17900

21050

15200

i + 1 = G

17400

21600

25200

21200

17500

21600

25200

20000

i + 1 = A

21000

25000

27400

24000

21100

25000

27400

22800

i + 1 = U

17200

20000

24600

19600

17200

20000

24600

18200

i + 1 = dC

14400

17900

21050

16200

14600

18000

21100

15200

i + 1 = dG

175000

21600

25200

21200

17600

21600

25200

20000

i + 1 = dA

21100

25000

27400

24000

21200

25000

27400

22800

i + 1 = dT

16200

19000

23400

18200

16200

19000

23400

16800


eI< is the “individual” extinction coefficient for nucleotide i.

Individual extinction coefficients at 260 nm:

i = C

i = G

i = A

i = U

i = dC

i = dG

i = dA

i = dT

7200

11500

15400

9900

7400

11500

15400

8700

 

Oligo Analysis & Plotting Tool

 

Melting Temperature

The melting temperature of an oligonucleotide is dependent upon a number of factors including the length and G+C content of the sequence as well as the type and concentrations of cations present, particularly the sodium ion, Na+. A variety of formulas have been used for predicting melting temperatures. The following formula is recommended for oligonucleotides ranging in length from 20 to 100 residues and sodium concentrations ([Na+]) ranging from 0.01 M to 1.0 M.

Melt

 

Annealing Temperature

To calculate the annealing temperature of oligonucleotides, first calculate the melting temperature (see above), then subtract approximately 5–10 degrees. If the two oligonucleotides have different melting temperatures do NOT average the numbers. Use the lower number so that both of the oligonucleotides can anneal. For 10mers, Eurofins Genomics recommends that PCR be done at 32–33 °C in order to maximize repeatability.

 

Oligo Analysis & Plotting Tool

 

// start - Hubspot script file load and caching fo 15 days // End - Hubspot script file load and caching fo 15 days